MACROALGAS ADERIDAS EM RIZÓFOROS DE Rizophora mangle L. EM BOA VIAGEM-SÃO JOSÉ DE RIBAMAR-MARANHÃO
DOI :
https://doi.org/10.18764/1981-6421e2020.11Mots-clés :
Algas, Manguezal, “Bostrychietum”Résumé
Esta abordagem teve como objetivo analisar as comunidades de macroalgas aderidas em rizóforos de Rizophora mangle L. na praia de Boa Viagem, São José de Ribamar-Maranhão como parâmetro para compreender melhor os diferentes níveis de variação observados no “Bostrychietum” de diferentes áreas de manguezal nas duas baías que compõem o Golfão Maranhense. Foram traçados 12 transectos de linha de novembro de 2018 a maio de 2019. Foram analisados 108 rizóforos englobados pelos transectos ao longo das coletas. Foram registrados os valores de O2 dissolvido, temperatura da água, pH e salinidade, bem como foram considerados os valores de precipitação disponibilizados por órgão oficial. 17 taxa infragenéricos (06 Chlorophyta e 11 Rhodophyta) foram identificados. Observou-se um crescimento tanto na biomassa total quanto na biomassa das espécies ao longo das coletas. Não foi observado nenhum padrão determinante de distribuição vertical das macroalgas. Os valores de precipitação apresentaram uma correlação positiva com os valores de biomassa algácea total.
ABSTRACT
This survey aimed to assess macroalgae community attached to rhizophores of Rizophora. mangle L. in Boa Viagem beach, São José de Ribamar, Maranhão, as a parameter to a better understand of the diff erent levels of variation observed inside “Bostrychietum” from diff erent areas of mangroves in the two bays that integrate Golfão Maranhense. 12 line transects were performed from november/2018 to may/2019. 108 rhizophores selected randomly along the transects were analised. Values of dissolved O๗, water temperature, pH and salinity were registered as well as precipitation levels, provided by offi cial department, were also considered. 17 infrageneric taxa were identifi ed (06 Chlorophyta and 11 Rhodophyta). It has been observed an increase in total biomass, as well as individual biomass species along the time of sampling. Vertical distribution pattern were not observed. Precipitation levels correlated positively to total macroalgae biomass.
Keywords: Algae; Mangrove; “Bostrychietum”.
Téléchargements
Références
BIOESTAT 5.3. Download de Arquivos. Disponível em:http://www.mamiraua.org.br/download/index.phpdirpath=./BioEstat%205%20Portugues&order=0. Acesso em: 14 mar 2019.
COUTINHO, P.N. & MORAIS, J.O. 1976. Distribuição de sedimentos na Baía de São José, Estado do Maranhão (Brasil). Arquivo de Ciências do Mar, 16(2): 123-127.
CUNHA, S.R. & COSTA, C.S.B. 2002. Gradientes de salinidade e freqüência de alagamento como determinantes da distribuição e biomassa de macroalgas associadas a troncos de manguezais na Baía de Babitonga, SC. Notas Técnicas Facimar, 6: 93-102.
CUTRIM, M.V.J., SILVA, E.F. & AZEVEDO, A.C.G. 2004. Distribuição vertical das macroalgas aderidas em rizóforos de Rhizophora mangle Linnaeus nos manguezais de Parna-Açu e Tauá-Mirim (Ilha de São Luís/MA - Brasil). Boletim do Laboratório de Hidrobiologia, 17: 9-18.
CUTRIM, M.V. J. & AZEVEDO, A.C.G. 2005. Macroalgas. Pp. 53-79. In: M. E. B. Fernandes (org.). Os manguezais da costa norte brasileira 2. Maranhão, Fundação Rio Bacanga
DAVEY, A. & WOELKERLING, W.M.J. 1985. Studies on Australian mangrove algae. III. Victorian communities: struture and recolonization in Western Port Bay. Journal of Experimental Marine Biology and Ecology, 85: 177-190.
EMPRESA MARANHENSE DE ADMINISTRAÇÃO PORTUÁRIA, EMAP. Disponível em: http://www. portodoitaqui.ma.gov.br/porto-do-itaqui/localizacao . Acesso em: 29 de março de 2020.
ESTON, V.R., BRAGA, M.R.A., CORDEIRO-MARINO, M., FUJI, M.T. & YOKOTA, N.S. 1992. Macroalgal colonization patterns on artificial substrates inside southeastern Brazilian mangroves. Aquatic Botany, 42: 315-325.
FERNANDES, M.E.B., SILVA, E.F., LIMA, J.F., VARELA, E.S., HERCOS, A.P., FERNANDES, C.M., ARRUDA, C.C.B., GOMES, G., SANTOS, H., SOARES, C. & SARAIVA, R.M. 2005. Distribuição especial de macroalgas associadas às florestas de mangue na Península de Ajuruteua, Bragança-Pará. Boletim do Laboratório de Hidrobiologia, 18: 11-17.
FONTES, K.A.A., PEREIRA, S.M.B. & ZICKEL, C.S. 2007. Macroalgas do “Bostrychietum” aderido em pneumatóforos de duas áreas de manguezal do Estado de Pernambuco. Iheringia – Série Botânica, 62: 31-38.
FONTES, K.A.A., LISBOA, A.T. & CASTRO, R.S. 2016. Macroalgas aderidas em pneumatóforos de Avicennia germinans (L.) Stearn na praia de Boa Viagem, São José de Ribamar-Maranhão. Acta Tecnológica, 10(2): 61-73.
LAURSEN, W.J. & KING, R.J. 2000. The distribution and abundance of macroalgae in Woolooware Bay, New South Wales, Australia. Botanica Marina, 43: 377-384.
MANN, F.D. & STEINKE, T.D. 1988. Photosynthetic and respiratory responses of the mangrove-associated red algae, Bostrychia radicans and Caloglossa leprieurii. South. Africa. Journal of Botany, 54: 203-207.
MELVILLE, F., PULKOWNIK, A. & BURCHETT, M. 2005. Zonal and seasonal variation in the distribution and abundance of mangrove macroalgae in the Parramatta River, Australia. Estuarine, Coastal and Shelf Science,64: 267-276.
MIRANDA, P.T.C. & PEREIRA, S.M.B. 1989. Macroalgas bentônicas no manguezal do rio Ceará (Ceará-Brazil). 11- Distribuição em função das condições hidrológicas. Arquivos de Ciência do Mar, 28: 39-52.
OLIVEIRA, E.C. 1984. Brazilian mangal vegetation with special emphasis on the seaweeds. Pp. 55-65. In: POR, F.D. & DOR, I. (org.) Hyrobiology of the mangal. Dr. W. Junk Publishers, The Hague.
PAULA; E.J., UGADIM, Y. & KANAGAWA, A.I. 1989. Macroalgas de manguezais da Ilha de Maracá – Estado do Amapá, Brasil. Insula, 19: 95-114.
PEDROCHE, F.F., WEST, J.A., ZUCCARELLO, G.C., SENTÍES, A.G. & KARSTEN, U. 1995. Marine red algae of the mangroves in Southern Pacific México and Pacific Guatemala. Botanica Marina, 38: 111-119.
PEREIRA, S.M.B. 2000. As algas bentônicas. In: BARROS, H.M., ESKINAZI-LEÇA, E., MACEDO, S.J. & LIMA, T. (Ed.) Gerenciamento Participativo de Estuários e Manguezais. Recife: Ed. Universitária da Universidade Federal de Pernambuco. p. 49-65.
POST, E. 1936. Systematische und pflanzengeographische Notizen zur Bostrychia-Caloglossa Assoziation. Revist Algologik, 9: 1-84.
TAYLOR, W.R. 1960. Marine algae of the Eastern Tropical and Subtropical coasts of the Americas. Ann. Arbor: University of Michigan Press. 870 p.
WYNNE, M.J. 2017. A checklist of benthic marine algae of the tropical and subtropical western Atlantic: fourth revision. Nova Hedwigia, 145: 1-202.
Téléchargements
Fichiers supplémentaires
- Tabela 1. Macroalgas ocorrentes nos rizóforos de R. mangle L. ao longo dos períodos de coletas (C1, C2, C3 e C4) na praia de Boa Viagem, São José de Ribamar, Ma. * presença; - ausência; ↓ menor que 0,0005g (erro da balança de precisão); F.O frequência de (Português (Brasil))
- Figura 1. Área de estudos. Praia de Boa Viagem, São José de Ribamar, MA (seta). Fonte: Fontes et al. 2015 (Português (Brasil))
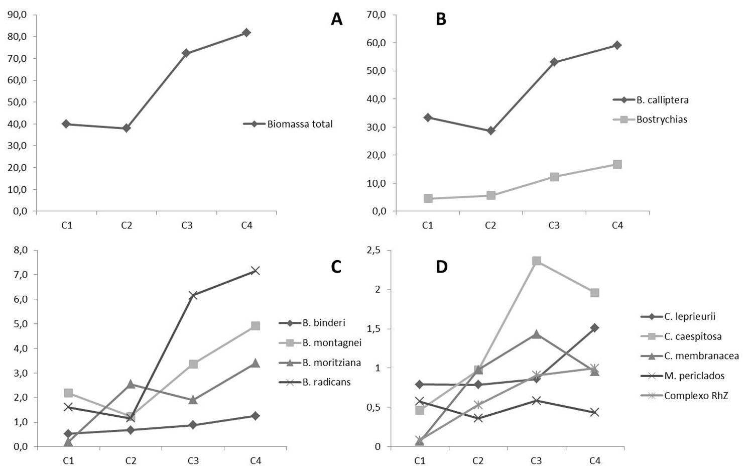
- Figura 2. Variação da biomassa algácea (g.m-2) em valores totais das espécies de macroalgas ocorrentes em rizóforos de R. mangle L. na praia de Boa Viagem, São José de Ribamar, Ma. A) biomassa total. B) B. calliptera x “Bostrychias”. C) Espécies de Bostry (Português (Brasil))
- Figura 3. Variação da biomassa total (g.m-2) das macroalgas aderidas em rizóforos de R. mangle L. na praia de Boa Viagem, São José de Ribamar, MA. A) Biomassa por secção de rizóforo; B) Biomassa por subárea de transecto. (Português (Brasil))
- Figura 4. A)Valores das variantes ambientais registrados ao longo do período das coletas na praia de Boa Viagem, São José de Ribamar, MA. B) Correlação positiva entre os valores de biomassa algácea total e de precipitação obtida através do cálculo do Coef (Português (Brasil))

